[백준 14476 : JAVA] 최대공약수 하나 빼기 / 세그먼트 트리 + 유클리드
문제

풀이
N의 최대값이 $10^{6}$ 이기 때문에 단순한 완전 탐색(이중 루프)을 하게 되면 시간초과가 걸린다.
따라서, 세그먼트 트리를 이용한다. (세그먼트 트리가 뭔지 모른다면 ---> pangtrue.tistory.com/299)
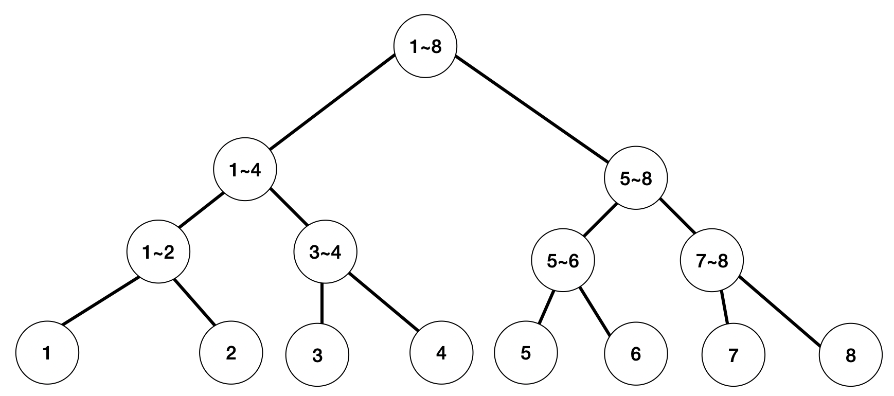
만약 N=8이라면 세그먼트 트리의 모양은 다음과 같다.

배열을 이용해서 저장할 것이고, 루트 노드부터 순서대로 1번 인덱스에 값이 저장될 것이기 때문에, 가장 처음 리프 노드의 인덱스를 구한다.
// 원소의 갯수에 따른 첫 번째 리프 노드의 인덱스를 구한다.
// 예를 들어, n이 [2^2+1, 2^3]이면 첫 번째 리프노드 인덱스는 8
// n이 [2^3+1, 2^4]이면 첫 번째 리프노드 인덱스는 16
int getFirstLeafNodeIdx(int n) {
int idx = 1;
while (idx < n) {
idx *= 2;
}
return idx;
}
이어서, 세그먼트 트리를 초기 셋팅하는 코드는 다음과 같다.
void init(int firstLeafNodeIdx, int n) {
// 리프 노드
for (int i = firstLeafNodeIdx; i < firstLeafNodeIdx + n; i++) {
segmentTree[i] = arr[i - firstLeafNodeIdx];
}
// 리프 노드가 아닌 노드
for (int i = firstLeafNodeIdx - 1; i >= 1; i--) {
segmentTree[i] = gcd(segmentTree[i * 2], segmentTree[i * 2 + 1]);
}
}
코드
import java.io.*;
import java.util.Arrays;
public class Main {
private static final int MAX_N = 1_000_000;
private static long[] segmentTree = new long[MAX_N * 4];
private static long[] arr;
public static void main(String[] args) {
try (BufferedReader br = new BufferedReader(new InputStreamReader(System.in))) {
int N = Integer.parseInt(br.readLine());
arr = Arrays.stream(br.readLine().split(" "))
.mapToLong(Long::parseLong)
.toArray();
int firstLeafNodeIdx = getFirstLeafNodeIdx(N);
init(firstLeafNodeIdx, N);
solve(firstLeafNodeIdx, N);
} catch (Exception ex) {
ex.getMessage();
}
}
private static void solve(int firstIdx, int n) {
long maxGcd = 0; // 가장 큰 최대공약수
long removeVal = 0; // 뺀 수
int cnt = 0;
for (int i = 0; i < n; i++) {
long curNum = arr[i];
// 현재 숫자를 제외시킨다. (값을 0으로 갱신)
updateSegmentTree(firstIdx, i, 0);
// 나머지들의 최대공약수가 뺀 수의 약수인지 판별한다.
if (arr[i] % segmentTree[1] != 0 && maxGcd < segmentTree[1]) {
maxGcd = segmentTree[1];
removeVal = arr[i];
}
if (arr[i] % segmentTree[1] == 0) {
cnt++;
}
// 원래 상태로 복구.
updateSegmentTree(firstIdx, i, curNum);
}
if (cnt == n) {
System.out.println("-1");
} else {
System.out.println(maxGcd + " " + removeVal);
}
}
private static long gcd(long a, long b) {
return b == 0 ? a : gcd(b, a % b);
}
// 배열에서 리프 노드가 저장될 첫 번째 인덱스를 반환한다.
private static int getFirstLeafNodeIdx(long n) {
int ret = 1;
while (ret < n) {
ret *= 2;
}
return ret;
}
// i~j 구간의 최대공약수를 구한다.
private static void init(int firstLeafNodeIdx, int n) {
// 리프 노드 (원소를 저장)
for (int i = firstLeafNodeIdx; i < firstLeafNodeIdx + n; i++) {
segmentTree[i] = arr[i - firstLeafNodeIdx];
}
// 리프 노드가 아닌 노드 (구간에 대한 연산값을 저장)
for (int i = firstLeafNodeIdx - 1; i >= 1; i--) {
segmentTree[i] = gcd(segmentTree[i * 2], segmentTree[i * 2 + 1]);
}
}
// updateIdx: 빼고자하는 수의 인덱스
private static void updateSegmentTree(int firstIdx, int updateIdx, long newValue) {
int tmpIdx = firstIdx + updateIdx;
segmentTree[tmpIdx] = newValue;
while (tmpIdx >= 1) {
tmpIdx /= 2;
segmentTree[tmpIdx] = gcd(segmentTree[tmpIdx * 2], segmentTree[tmpIdx * 2 + 1]);
}
}
}'Algorithm > Baekjoon' 카테고리의 다른 글
| [백준 9202 : JAVA] Boggle / 트라이 + DFS (0) | 2021.03.14 |
|---|---|
| [백준 11066 : JAVA] 파일 합치기 / DP + 최적화 (1) | 2021.03.09 |
| [백준 2168 : JAVA] 타일 위의 대각선 / 수학 (0) | 2021.03.04 |
| [백준 2436 : JAVA] 공약수 / 유클리드 호제법 (0) | 2021.03.04 |
| [백준 11051 : JAVA] 이항 계수2 / 조합 + DP (0) | 2021.03.03 |
댓글
이 글 공유하기
다른 글
-
[백준 9202 : JAVA] Boggle / 트라이 + DFS
[백준 9202 : JAVA] Boggle / 트라이 + DFS
2021.03.14 -
[백준 11066 : JAVA] 파일 합치기 / DP + 최적화
[백준 11066 : JAVA] 파일 합치기 / DP + 최적화
2021.03.09 -
[백준 2168 : JAVA] 타일 위의 대각선 / 수학
[백준 2168 : JAVA] 타일 위의 대각선 / 수학
2021.03.04 -
[백준 2436 : JAVA] 공약수 / 유클리드 호제법
[백준 2436 : JAVA] 공약수 / 유클리드 호제법
2021.03.04